Beranda
/ Perkalian Matriks 3X2 Dengan 3X3 - Mengapa Perkalian Matriks Bekerja Seperti Itu - Perkalian matriks dengan matriks merupakan operasi yang sering membuat bingung, karena dalam proses perkaliannya harus.
Perkalian Matriks 3X2 Dengan 3X3 - Mengapa Perkalian Matriks Bekerja Seperti Itu - Perkalian matriks dengan matriks merupakan operasi yang sering membuat bingung, karena dalam proses perkaliannya harus.
Perkalian Matriks 3X2 Dengan 3X3 - Mengapa Perkalian Matriks Bekerja Seperti Itu - Perkalian matriks dengan matriks merupakan operasi yang sering membuat bingung, karena dalam proses perkaliannya harus.. Pada matriks dengan ukuran 3 x 3, setiap baris dan kolom terdiri atas 3 anggota. Ordo 2x3 dan ordo 3x2 semoga bermanfaat. Hallo semuanya, kali ini kita akan membahas dan belajar tentang materi pembelajaran pada tingkat sma/ma sederajat. Perkalian matriks 23 dengan 32. Cara menentukan invers matriks 2x2 dan 3x3.
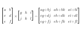
Perkalian matriks berordo 3 2 dan matriks berordo 2 3 adalah akan menghasilkan matriks berordo 3 3. Perkalian matriks ini hanya mungkin dalam kasus ketika jumlah kolom matriks pertama sama dengan banyaknya baris matriks kedua. Terimakasih udah menontonmatematika smk tkpmatriks; Perkalian matriks 2x2 dengan 3x2 brainly co id. Karena a 2x3.b 3x2 = c 2x2 sedangkan b 3x2.a 2x3 = c 3x3.
3 Cara Untuk Membalik Matriks 3x3 Wikihow from www.wikihow.com Sebagai contoh matriks a 2x3b 3x2 b 3x2a 2x3. Oleh dosenpendidikan diposting pada 05/07/2021. Perkalian matriks 2×3 dengan 3×2. Perkalian matriks 3x2 dengan 3x3. Posted in matematikatagged contoh soal perkalian matriks ordo 3x3, pembagian matriks, penjumlahan matriks, perkalian matriks 3x1, perkalian matriks 3x2 dengan 2x2, perkalian matriks 3x3 dengan 3x2, perkalian matriks 4x4. Matriks 3x3 matriks 3x2 matriks 2x3 matriks. Matriks persegi dengan ukuran 3 x 3 memiliki 9 anggota, yang terbagi dalam 3 baris dan 3 kolom. Perkalian matriks 3×3 dengan 3×2.
Pada program ini pengguna diminta memasukkan nilai matrik pertama dan nilai matrik kedua yang kemudian akan dikerjakan.
Oleh dosenpendidikan diposting pada 05/07/2021. Karena a 2x3b 3x2 c 2x2 sedangkan b 3x2a 2x3 c 3x3. Posted in matematikatagged contoh soal perkalian matriks ordo 3x3, pembagian matriks, penjumlahan matriks, perkalian matriks 3x1, perkalian matriks 3x2 dengan 2x2, perkalian matriks 3x3 dengan 3x2, perkalian matriks 4x4. Perkalian matriks berordo 3 2 dan matriks. Perkalian matriks dengan matriks merupakan operasi yang sering membuat bingung, karena dalam proses perkaliannya harus. Ubuntu merupakan os open source yang sangat digemari saat ini. Cara menentukan invers matriks 2x2 dan 3x3. Program ini sudah bisa dijalankan untuk menghitung perkalian matriks sederhana dengan ordo 3x3. Misalnya matriks berordo 3 x 2, maka matriks tersebut berikuran 3 baris 2 kolom. Rumus dasar matriks perkalian ab= a x b dengan output dengan menggunakan kode program seperti berikut /. Diberikan matrik berordo 3x3, misalkan matriks p dan matriks q. Video tutorial (imath tutorial) ini memberikan materi tentang matriks. Ordo 2x3 dan ordo 3x2semoga bermanfaat.jangan lupa coment buat channel ini.
Matriks 3x3 matriks 3x2 matriks 2x3 matriks. Jangan lupa coment buat channel ini. Perkalian matriks 23 dengan 32. Rumus dasar matriks perkalian ab= a x b dengan output dengan menggunakan kode program seperti berikut /. Ada beberapa tutorial tentang matriks yang disajikan oleh imath tutorial.
Mmult Rumus Excel Menghitung Perkalian Matriks Belajar Office from www.belajaroffice.com Perkalian matriks berordo 3 2 dan matriks. Daerah yang diarsir pada gambar disamping merupakan penyelesaian permasalahan program linier. Perkalian matriks 2×3 dengan 3×2. Terimakasih udah menontonmatematika smk tkpmatriks; Ordo 2x3 dan ordo 3x2semoga bermanfaat.jangan lupa coment buat channel ini. Pada matriks dengan ukuran 3 x 3, setiap baris dan kolom terdiri atas 3 anggota. Jika ukuran matriks 2 x 2 hanya memiliki 4 anggota ukuran matriks dengan bilangan 3 x 3 mempunyai jumlah anggota yang jauh lebih banyak. Perkalian matriks 3x2 dengan 3x3.
Dengan adanya versi desktop (gui) membuat siapapun bisa menggunakan linux.
Rumus dasar matriks perkalian ab= a x b dengan output dengan menggunakan kode program seperti berikut /. Cara menentukan invers matriks 2x2 dan 3x3. Oleh dosenpendidikan diposting pada 05/07/2021. Perkalian matriks berordo 3 2 dan matriks berordo 2 3 adalah akan menghasilkan matriks berordo 3 3. Akan saya buat playlist materi sma/ma deng. Ordo 2x3 dan ordo 3x2 semoga bermanfaat. Dengan adanya versi desktop (gui) membuat siapapun bisa menggunakan linux. Cara membuat matriks 3x3 bahasa c komandan. Sebagai contoh matriks a 2x3b 3x2 b 3x2a 2x3. Perkalian matriks 3×3 dengan 3×2. Perkalian matriks berordo 3 2 dan matriks. Perkalian matriks ordo 3x2 dengan 3x3 11 jul, 2020 posting komentar sehingga, perkalian matriks hanya bisa dilakukan untuk banyaknya kolom matriks pertama sama dengan banyaknya baris pada matriks kedua. Perkalian matriks adalah nilai matriks yang bisa dihasilkan dengan cara tiap baris dikalikan dengan setiap kolom yang perlu untuk anda ketahui, perkalian matriks 3 x 3 sedikit lebih rumit jika anda bandingkan dengan perkalian matriks 2 x 2.
Perkalian matriks 3x2 dengan 3x3. Terimakasih udah menontonmatematika smk tkpmatriks; Hanya saja membutuhkan ketilitian yang kalkulator ini bisa digunakan untuk perkalian matriks 3x3. Tema linux ubuntu untuk android. Kumpulan soal dan pembahasan perkalian matriks.
Program Perkalian Matriks Di C Kopi Coding from www.kopicoding.com Ordo 2x3 dan ordo 3x2 semoga bermanfaat. Posted in matematikatagged contoh soal perkalian matriks ordo 3x3, pembagian matriks, penjumlahan matriks, perkalian matriks 3x1, perkalian matriks 3x2 dengan 2x2, perkalian matriks 3x3 dengan 3x2, perkalian matriks 4x4. Program ini sudah bisa dijalankan untuk menghitung perkalian matriks sederhana dengan ordo 3x3. Posted in matematikatagged contoh soal perkalian matriks ordo 3x3, pembagian matriks, penjumlahan matriks, perkalian matriks 3x1. Hal ini dikarenakan ukuran matriks 3 x 3 mempunyai jumlah anggota lebih banyak. Perkalian matriks berordo 3 2 dan matriks berordo 2 3 adalah akan menghasilkan matriks berordo 3 3. Perkalian matriks 3×3 dengan 3×2. By azzahra rahmah posted on december 26, 2020.
Oleh dosenpendidikan diposting pada 05/07/2021.
Ubuntu merupakan os open source yang sangat digemari saat ini. Program ini sudah bisa dijalankan untuk menghitung perkalian matriks sederhana dengan ordo 3x3. Cara menentukan invers matriks 2x2 dan 3x3. Jadi melihat ordonya saja sudah jelas tidak mungkin sama. Proses perkalian matriks ini tidak begitu rumit. Jangan lupa coment buat channel ini. Karena a 2x3b 3x2 c 2x2 sedangkan b 3x2a 2x3 c 3x3. Posted in matematikatagged contoh soal perkalian matriks ordo 3x3, pembagian matriks, penjumlahan matriks, perkalian matriks 3x1. Mantap gan, sekedar tambahan aja, untuk versi ini kita bisa tentukan sendiri kolom dan barisnya saat entri data c++ perkalian dua matrik dimensi banyak Video tutorial (imath tutorial) ini memberikan materi tentang matriks. Perkalian matriks berordo 3 2 dan matriks berordo 2 3 adalah akan menghasilkan matriks berordo 3 3. Perkalian matriks 2x2 dengan 3x2 brainly co id. By azzahra rahmah posted on december 26, 2020.
Berbagi
Posting Komentar
untuk "Perkalian Matriks 3X2 Dengan 3X3 - Mengapa Perkalian Matriks Bekerja Seperti Itu - Perkalian matriks dengan matriks merupakan operasi yang sering membuat bingung, karena dalam proses perkaliannya harus."
Posting Komentar untuk "Perkalian Matriks 3X2 Dengan 3X3 - Mengapa Perkalian Matriks Bekerja Seperti Itu - Perkalian matriks dengan matriks merupakan operasi yang sering membuat bingung, karena dalam proses perkaliannya harus."